avatar

Xin Lin

Ph.D. candidate
Hong Kong Polytechnic University
22040745r@connect.polyu.hk


Selected Work

Solving Coordination Failures: Collective Land Transfer Rights and Rural Entrepreneurship

With Eddie C.M. Hui, Zhenglong Cong, and Jianfu Shen. Journal of Development Economics, 2026

Awards: Best Paper Prize for outstanding papers at the 3rd Global Urban Governance and Policy Symposium

Selected Presentations: Strategic Entrepreneurship Journal Paper Workshop, Hong Kong (2024), 13th European Meeting of Urban Economics, (UEA 2024), AsRES International Real Estate Conference (2024), SMU-Jinan Conference on Urban and Regional Economics (2024), the 3rd Global Urban Governance and Policy Symposium (2025)

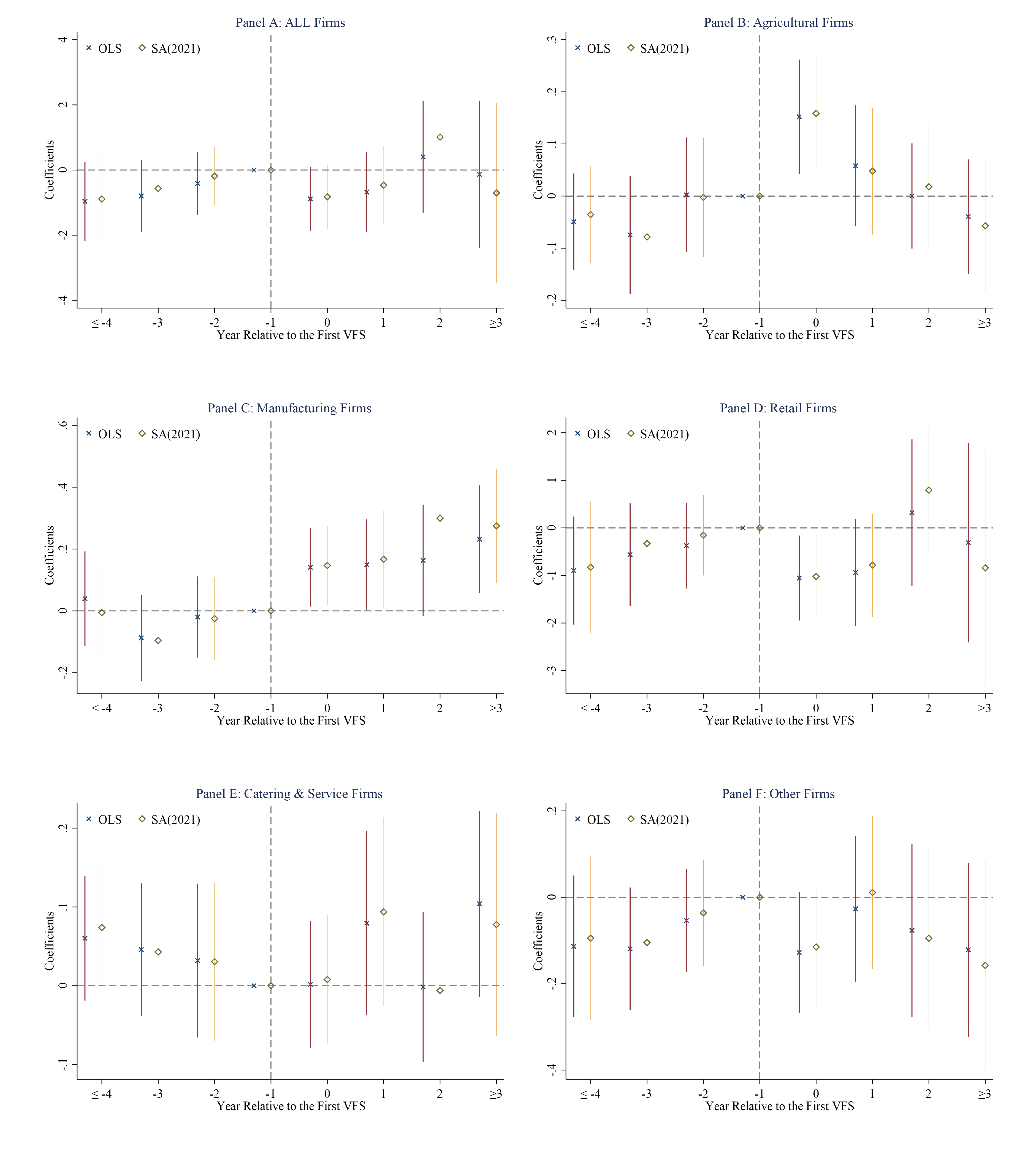
The Arrival of Institutional Elites: Village First Secretaries and Rural Entrepreneurship in China

With Eddie C.M. Hui, Guodong Ma, Jie Tang, and Jianfu Shen. R&R at American Journal of Agricultural Economics

Awards: Best Paper Prize at the 2nd National Doctoral Workshop on Public Administration

Selected Presentations: The 17th CEA (Europe) and 36th CEA (UK) Annual Conference (2025), The 2nd National Doctoral Workshop on Public Administration (2025), The 9th Joint Forum on Land Use Policy by SSCI Journal (2025); The 3rd Forum on Local Governments and High-Quality Development (2025)

Can We Balance Green and Growth? The Environmental Effect of Place-based Policies

With Fangrui Liu, Peng Zhang, Shilin Zheng. R&R at Journal of Economic Behavior & Organization

Selected Presentations: Camphor Regional Economics Forum (2023)


Work in Progress